Dr. R.S. Harrington: The Location of Planet X
- Ryan Moorhen

- Apr 11, 2016
- 8 min read
Astronomical Journal Volume 96, Number 4
THE LOCATION OF PLANET X
R.S. HarringtonU.S. Naval Observatory, Washington, DC 20392Received 17 May 1988; revised 12 July 1988ABSTRACT

Dr. R.S. Harrington
Planet X, if it exists at all, is most likely to be found, at present, in the region of Scorpius, with a considerably lesser likelihood that it is in Taurus.
In 1930, Tombaugh found the planet Pluto. This was the result of a systematic search initiated at Lowell Observatory as the result of predictions made by Lowell as to the positions and nature of a supposed additional planet in our solar system. At the time, Pluto was hailed as the object of that prediction, even though there were anomalies in its appearance and orbit evident right from the time of its discovery. Since then, these problems have only become more serious, and the discovery of its satellite in 1978 revealed a mass of Pluto that could not have caused any of the perturbations in the orbits of Uranus and Neptune used to predict the existence of a ninth planet. For a complete review of the discovery of Pluto and the developments leading up to the suspicion of the existence of a tenth planet, see Seidelmann and Harrington (1988).
The motions of Uranus and Neptune cannot be adequately represented within the present gravitational model of the solar system. Pluto cannot have any detectable effect on these two planets. There is therefore a good possibility that there is at least one undetected planet in our solar system, and it is now possible to set some constraints on where that planet might be.
The observations used in this study were taken from compilations of all positional determinations available through 1982 for each planet of interest. These observations are quite varied in nature and source and include both visual and photographic determinations. The Uranus observations go back to 1833 and the Neptune ones to 1846. These compilations were supplied by the Nautical Almanac Office of the U. S. Naval Observatory. They consist of observed positions of Uranus and Neptune, along with residuals in right ascension and declination from positions computed from DE200 (Standish 1982a,b). The residuals were first converted to residuals in ecliptic longitude (great circle) and latitude. As a statistical approximation, this is not correct, since these data are not statistically independent. However, for the present analysis this makes no difference, and it greatly facilitates the subsequent comparison with numerical simulations.
These residuals were then combined into seasonal normal points, producing average geocentric residuals spaced slightly more than a year apart. These residuals were then assumed to be adequate representations of the equivalent heliocentric average residuals for the observed oppositions. There are usually enough observations per opposition, with enough balance pre- and post-opposition, that the small systematic errors within each observation should tend to cancel out in the mean. The exception would be that, in the mean, heliocentric residuals should be, at most, a few percent smaller in magnitude, an effect that is well below the noise level within each normal point. In any case, these short-period differences do not affect the long-period effects being sought. Finally, a weight was assigned to each normal point. Weights based upon the rms scatter within each normal would give the bulk of the weight to the observations after about 1920, and therefore on modern transit-circle observations. However, it is important to give enough weight to early observations to give them some significance in a solution for long-period effects. Therefore, the weights were based merely on the square root of the number of observations per normal. A few tests indicated that this consideration is not significant for the final results.
The item of interest for the present analysis is the perturbation in the orbit of a known planet, produced by the presence of an unknown Planet X. (X can be thought of as either representing the unknown or the number 10.) Hence, the equations of motion are cast in the form of the motions of the residuals in rectangular coordinates. For numerical work, this is known as Encke’s method, and the description followed here comes from Brouwer and Clemence (1961). The method relies on the fact that it is being applied only to the orbits of Uranus and Neptune. These planets are sufficiently distant, move sufficiently slowly, and are perturbed sufficiently little that all vectors representing planetary positions, whether known or unknown but assumed, as they appear in the derivatives of the perturbations, can be represented by approximate vectors. For assumed Planet X orbits, two-body motion is assumed. For Uranus and Neptune, the low-precision formulas as given by Van Flandern and Pulkkinen (1979) are employed.
Additional assumptions are that the perturbations are sufficiently small that expansions in them are only required through first order and that the mass of the perturbed planet need not be included in the solar gravitational constant representing the principal term in the acceleration of the perturbation (both of these have been numerically verified). The result of this development is a set of relatively simple equations of motion that can be integrated very quickly for a given orbit of Planet X. A reintegration of the entire outer solar system is not needed for each test case and, indeed, only the positions of the perturbing and the perturbed planets (the perturber and the perturbee) are required.
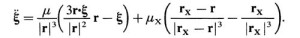
To be specific, let ξ be the vector of perturbations of an observed planet, caused by Planet X, from the vector r of the predicted position of the observed planet, based on the known gravitational model of the solar system (i.e., the actual vector of observations is r + ξ). The vector r is approximated as described above. Let rx be the position vector of Planet X. Let μ be the gravitational constant of the Sun and μx be that of Planet X. The equation of motion for the perturbation vector can therefore be written as follows:

The numerical procedure is to pick some mass and state vector of Planet X, and to integrate the above equation to each of the observed epochs, using closed formulas (not series) to compute r. The rectangular perturbations are rotated into the plane of the sky at each epoch to produce predicted longitude and latitude perturbations, and constant and secular terms are removed to produce a set of predicted perturbations to be compared with the observed ones.
The experimental procedure was to systematically pick masses and position vectors for Planet X, to pick a constellation of velocity vectors around and including that of the circular orbit for each position and mass, such that the directions are distributed uniformly around the circular vector and the magnitudes incremented to vary the total kinetic energy in uniform specified steps. In this case, four energy steps were taken about each circular orbit (each energy step represented an increment of 10% of the circular energy), the distances were varied in increments of 10 AU from 30 to 80, longitudes in 1 hr increments from 1 to 24, latitudes in 15° increments from -45 to +45, and the mass in increments of ℳ⊕ from 3 to 5 ℳ⊕, for a total of 172,368 test cases for each run. This was carried out for both Uranus and Neptune, giving a grand total of just over a third of a million trials.
Only those cases for which the rms scatter of the observed residuals about the predicted ones were 10% or more below the raw observed rms residuals were saved for further analysis. There were no such cases for post-discovery observations of Neptune. For Uranus, the resulting orbits were used to compute 1988 heliocentric positions for the planet, and these were found to cluster in two relatively limited regions of the sky (as has to be the case, these regions are almost directly opposite each other). The first region runs from approximately right ascension 3h to 7h , declination -10° to +50°, and the other from 14h to 21h and -70° to -10°. The positions for each region are plotted in Fig. 1, with the positions from the best-fit orbits highlighted. The best-fit positions cluster toward the center of each region, as would be expected, indicating that the most likely location in each case is towards the center of each region. There are far more points in the southern region than in the northern, however, with the same degree of concentration of the best ones. Counting overlapping points, there are 30 test orbits represented in the first region and 153 in the second, suggesting perhaps more than 5 to 1 odds that the planet is in the southern region. For comparison, Fig. 2 shows the locations predicted for 1930, along with the discovery location of Pluto. The comparison of Pluto’s location with the predicted low-probability location of Planet X shows the degree to which Pluto was mimicking Planet X at that time. Thus, the Lowell search, which was concentrating on that solution accessible to it, found Pluto coincidentally close to a possible location for Planet X at that time.


Powell (1988) has carried out a solution of the problem using an approach that at many points is very similar to that used here. He has used weighted oppositional normal points of residuals, of the planet Uranus, and he has made similar approximations to concentrate on the perturbations themselves. However, he has formally solved for a best-fit orbit, and, although he finds local best fits in the same two regions of the sky, he has concentrated on the solution giving the absolute best fit. He has also taken as a first iteration a zero-eccentricity, zero-inclination orbit, legitimate for the known planets but possibly not so for this case. His prediction is indicated as well in Fig. 1. It is consistent with the above results at some level, but it is farther east than suggested here even for that region, presumably as a result of the more rapid motions that would be required of an approximately circular orbit near the extremes of the observational interval.
Gomes and Ferraz-Mello (1988) have also examined this problem, again with a similar approach, allowing for eccentricity but no inclination for Planet X. They also conclude that Uranus is the more suitable indicator planet, and both of their reasonable solutions give a present position close to the one given by Powell.
A further consideration here is the complete Lowell planetary survey. After discovering Pluto, Tombaugh continued looking for any additional planets for another 13 yr, covering a good portion of the northern sky down to approximately 16th magnitude (see Tombaugh and Moore [1980] for a complete description of the Lowell survey). While it is perfectly possible that he could have overlooked Planet X, for a variety of reasons, the indications are that his search was quite thorough. From this alone, it can be suggested that the probability that the planet is in the north is quite low. The quasiquantitative results here support this conclusion. Therefore, not as a best solution, but as a typical good case, the following nominal orbit may be used to locate Planet X:
Perihelion Epoch T:Semimajor axis a:Period P:Eccentricity e:Argument of perihelion ω:
Argument of node Ω: Inclination i: Mass m: Absolute magnitude V (1,0):
6 August 1789101.2 AU1019 yr0.411208.5
275.4 32.4 4ℳ⊕ -6 (assumed)
The above gives positions in 1930-1943 between 14h and 15h and south of -41°, an area only marginally covered, at best, at this magnitude by Tombaugh. The present position is now 16.0h, -38°, magnitude 14. Any search should use the above only as a starting point to cover the indicated broad region.
I would like to thank Tom van Flandern, who first convinced me that Planet X might be real and worth looking for, and whose thinking guided the initial stages of this project. Ken Seidelmann gave me access to the Uranus and Neptune residual data, as well as continued advice and criticism on the project in general. Finally, special thanks to Conley Powell, who continually kept me abreast of his progress in his calculations, as I attempted to do for him.
References
Brower, D., and Clemence, G. M. (1961). Methods of Celestial Mechanics (Academic, New York), p. 176.
Gomes, R. S., and Ferraz-Mello, S. (1988). Icarus (submitted).
Powell, T. C. (1988). Private communication.
Seidelmann, P. K., and Harrington, R. S. (1988). Celest. Mech. (in press).
Standish, E. M., Jr. (1982a). Astron. Astrophys. 114, 297.
Standish, E. M., Jr. (1982b). Celest. Mech. 26, 181.
Tombaugh, C. W., and Moore, P. (1980). Out of the Darkness (Stackpole, Harrisburg; Lutterworth, Guildford).
Van Flandern, T. C., and Pulkkinen, K. F. (1979). Astrophys. J. Suppl. 41, 391.





Comments